苏翊鸣回应被保送清华大学:会更加努力不负期望

国家体育总局科教司发布

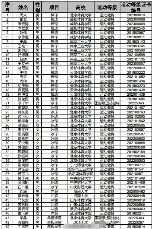
6月15日,国家体育总局科教司发布关于2023年优秀运动员本科保送推荐名单的公示,公示时间为2023年6月15日至21日。名单显示,单板滑雪运动员苏翊鸣保送推荐清华大学。

6月16日,苏翊鸣社交平台发文回应被保送清华大学:“两年前许下的关于18岁的三个愿望,今天终于全部实现了!感谢清华大学给我学习深造的机会,我知道自己还有许多不足,会在接下来的四年里更加努力,不负期望。”

同时苏翊鸣在感恩自己得到最好的教育机会时,也提出想要帮助更多偏远地区的青少年获得更好的教育资源。从而正式发起“爱心接力·高原筑梦”公益倡议,希望和大家一起将自己闲置的运动器材及文具用品,寄送给青海省果洛藏族自治州的孩子们。

随后,清华大学官方社交平台发文:“我在清华等你来!@苏翊鸣。”

在此前的采访中,苏翊鸣曾提到他的3个愿望:“第一个愿望,是在祖国参加冬奥会。第二个愿望,为国家争光,在领奖台上让国歌奏起。第三个愿望,拿到理想大学的录取通知书。”
相关文章
-
陈都灵一袭绿色抹胸长裙 站在柳树下宛若自然精灵
近日,陈都灵最新造型美照释出,她身着一袭绿色抹胸长裙,站在柳树下宛若自然精灵,神秘而又清新。...
2025-04-24 09:21:51 都灵站在抹胸 -
梁朝伟刘嘉玲周润发齐聚 为杜琪峰庆生掀起回忆杀
4月22日晚,刘嘉玲于社交账号上发布了与梁朝伟、周润发、张叔平等好友为杜琪峰庆生的合影,画面中众人笑容满面,多年情谊尽显。刘嘉玲周润发同框合影,刘嘉玲微卷的利落短发造型十分吸睛。...
2025-04-24 09:21:44 刘嘉玲梁朝伟杜琪 -
林心如就黄子佼事件强硬表态:对虐待及影片持有行为零容忍
台媒消息显示,林心如于近期就黄子佼藏匿未成年人性影像一事再度发声。她郑重表明立场,明确表示对虐待未成年人以及持有相关影像的行为绝无妥协余地。...
2025-04-24 09:21:41 强硬影片行为 -
董璇泳池旁喝椰子水好惬意 穿优雅礼裙身姿曼妙
近日,董璇在社交平台上晒出一组写真美照,并配文称:“提前在广州感受了夏日赛道。”照片中,她身着一袭优雅礼裙在游泳池旁喝椰子水,面露明媚笑容,十分惬意。...
2025-04-24 09:21:14 椰子泳池曼妙 -
形势比人强,特朗普关税战打不下去了!
原创: 后沙来源微信公众号:后沙已获转载授权昨天在短短不到6个小时之内,特朗普发动的关税战又变调了。北京时间0时左右,美国财政部长贝森特在摩根大通的闭门会议上,放风称,中美之间的高关税是不可持续的,预计会降温。预计什么,预料到中国的态度?自己信吗?1点左右,白宫发言人莱维特在新闻发布会上也表达了类似的态度。5点左右,特朗普亲自确认,针对中国进口商品的关税税率不会维持在当前水平(145%),“它会大幅下降,但也不会降至零,中国将对最终的关税税率非常满意”。特朗普还说了些肉麻的话,要和中国幸福地生活在一起(v...
2025-04-24 09:21:03 关税不下去了形势 -
怂是真认怂,事是真没完!
作者:码头整薯条的海鸥来源:码薯学人今天我们来聊聊服软的特朗普。在美国时间4月22号发生了4件事:特朗普公开说开始考虑降低对华关税税率(强调不是0);特朗普放出消息说中美贸易谈判进展顺利;特朗普表示无意解雇美联储主席鲍威尔,但是还是要求美联储降息;特朗普的财长贝森特在22号摩根大通的闭门投资会上明确表示中美贸易战不能长期持续。这4条消息合在一起,我们可以明确一点,特朗普在释放善意。但是,善意不代表胜利。果然,就在4月23日,美国媒体突然传出消息说中美芬太尼谈判陷入僵局。22号的宣传口径表明特朗普确实在认怂...
2025-04-24 09:21:01 怂是真认怂事是真 -
特朗普不想打关税战了,想和中国幸福地生活在一起!
原创: 一棵青木来源公众号:远方青木已获转载授权特朗普发动的关税战又进入新阶段了,以一种你想都不敢想的方式。4月23日,特朗普公开发言称对中国的145%关税太高了,自己很快会大幅度降低,但不会降低到零。特朗普还说,中国将对最终的关税税率非常满意,但他们必须跟美国达成协议。还有更离谱的,特朗普说:“我认为中国会很高兴,我们会幸福地生活在一起”。没错,真的是这么说的。中文翻译看起来非常肉麻,但原文其实更肉麻,特朗普使用的英文单词原文是“very happily”。不仅要在一起(live together),还...
2025-04-24 09:20:59 关税中国幸福

