作者:老和山下的小学僧
来源公众号:老和山下的小学僧
已获转载授权
选择题:空战时,如果隐身飞机和预警机只能二选一,该怎么选?这是一道送命题,得从长计议,长到从麦克斯韦开始议。当年他老人家写下的4个方程,不仅让他坐稳了物理学史上第三把交椅,也为电磁波划下了一条不可逾越的边界。电子对抗的核心是折腾电磁波,正经点说,就是以无线电为基础的雷达技术和通信技术。尽管这哥俩发展神速,但剥开一看,150年前的麦克斯韦牢笼至今依然没有丝毫松动的迹象。
电磁波的天花板
姑且把电子对抗分为电磁波部分和数学竞赛部分,有点类似于硬件和软件,前者指电磁波的收发,后者指信号的处理。那么,本僧有两个观点:其一,现阶段的电子对抗主要集中在数学竞赛部分,或者可以理解为加密和破解;其二,信号处理需要海量的计算,这活靠算盘是不行的,因此雷达和通信的发展,很大程度上是计算机带动的。抛开计算机的因素,今天的雷达和半个世纪前并没有本质区别,原先的天花板一样没少,而其中一块天花板就导致了预警机的诞生。虽然美国YouGov机构的调查显示美国仍有2%的人不相信地球是圆的,但本僧倾向于认为地球是圆的,于是,我们就有了一个尴尬的公式:
看到数学不要慌,这也就初中水平,式中H是雷达高度,h是目标高度。假设雷达高度30米,目标高度30米,按照公式,雷达探测距离只有45千米。这个“45千米”是物理定律,和科技水平无关。多解释一下,雷达探测距离计算其实蛮复杂的,参数众多,咱这公式只是针对地球曲率影响的简化版。如果说谁家军舰能锁定几百公里外的目标,不用说,一定是天上飞得老高的目标。但实际上,除了阿三这种标题党,大部分巡航导弹宁可牺牲射程也不会飞那么高。所以有段时间,飞机导弹是越飞越低,雷达是越架越高。
那为什么咱不把雷达架高一点?雷达太重,架高了影响舰体稳定性和抗风浪能力。那为什么咱不把雷达做小一点?雷达太小了,功率就跟不上。有时候吧,综合实力就藏在这些细节里。得了,传统雷达还是别和美帝较量了,赶紧想别的辙吧!
如果只是远程预警的话(只发现不锁定),办法倒是有几个。这种波长超过几十米的雷达波,能利用电离层的反射,搜索几千公里外的目标,也能利用海水导电的特性,沿着海平面向前爬行,搜索几百公里外的目标,前者称天波雷达,后者称地波雷达。除了天地波,还有一种利用大气层不均匀导致微波折射的原理,实现上百公里探测的大气波导雷达。个中代表就是我国的366雷达,已经大量装备054护卫舰和052驱逐舰。很可惜,根据物理定律,波长要是长了,雷达天线的尺寸就小不了,这块天花板给预警机带来了无尽烦恼。苏联的超视距雷达DUGA-3
先不管天线尺寸的事,这种长波一旦在大气层里拐了几个弯再反射回来,不但精度感人,干扰因素还特多,太阳活动剧烈一点,风浪大一点,天气差一点,都会受影响。总的来说,超视距雷达不但讲究天时地利,而且只能预警,至少很难锁定飞行小目标。这万一人家挑个太阳黑子爆发的时候进攻,你就只能请求暂停了。以空制海与超低空突防
帐算到这儿,咱心里有数了。单靠军舰上的雷达,很难攻击40公里外的超低空目标,就这点能耐还出去嘚瑟,遇到硬茬基本就是找抽。
所以,现代海战的原则就是“以空制海”,即用飞机打军舰,常规套路都是超低空突防。举个例子:飞机先以30米高度飞到军舰几十公里处,然后迅速拉高,开雷达搜索目标,锁定后发射反舰导弹,反舰导弹的飞行高度甚至能低到5米。虽然飞机爬高开雷达后肯定会被军舰发现,反舰导弹飞向军舰的同时,军舰的防空导弹没多久也就上路了,但这种对赌还是很划算的,因为飞机还能躲,军舰只能靠防,而且,飞机才多少钱,军舰得多少钱?当年阿根廷用这招把英国最先进的驱逐舰送入海底,被奉为海战经典,从中我们也能看到某大国的无奈。早几年南海岛礁被占,很多愤青叫嚣去南海抽猴子,咱好歹也是五大流氓,抽不过美帝,还能抽不过猴子?你还别说,那地方咱战斗机够不着,而猴版苏30也不是吃素的。阿根廷能把带着帝国余辉的大阴帝国抽得脸上无光,咱们那会的052也不见得扛得住。这事儿在陆地上更加没谱!像丘陵山地这种复杂地形,到处是雷达盲区,杂波又多,光靠地面雷达指挥的话,空战基本上就得靠肉眼打了。根据公式,要看400公里外的超低空飞行目标,至少得把雷达搬到8500米高。啥也别说了,上飞机吧!航母的主角光环
很多吃瓜群众对航母有一种迷之自信,其实吧,如果没有预警机罩着,航母出海跟瞎子差不多,迟早得喂鱼。判断一个航母的战斗力,就不得不看她的预警机。除了美帝之外,所有人用的都是预警直升机,这货在滞空时间、飞行高度、雷达性能方面无法和美帝同日而语。看着这么丑的造型,本僧已经不想多费口舌了。

三哥比较奔放,早期航母一直都是裸奔,反正不影响“航母大国”的称号。后来去毛子那才知道需要预警机,然后就很豪放的买了一堆卡-31。
兔子最近主动曝光了一款用于辽宁舰的直-18J预警直升机,别的不说,就这造型至少甩英国人三条街,战力号称超过法国戴高乐号。
说实在的,大家都是直升机,就别五十步笑百步了,这货也就临时应个急,没必要分个谁高谁低的,数据都懒得罗列了。
地球上真正靠谱的舰载预警机,就美帝一根独苗:E-2鹰眼预警机。毫不夸张的说,E-2预警机才是美帝航母全球溜达的根本保障,而别人家的航母都只能在门口溜达。没得说,美帝世界霸主的又一例证。
最新款的E-2D,相比之前的ABC三款,可谓是脱胎换骨,顶配中的顶配,这厮有多牛呢?很多人关注的是550公里的对空搜索距离,这其实不算重要,包括滞空时间、巡航速度等等,都是细枝末节。千万别忘了,预警机不仅仅是一架飞翔的雷达站,空中指挥所才是它的本职工作,通过数据链将指挥系统、情报系统和武器系统融为一体,是整个空战最重要的结点!举个例子,E-2D能同时让40架战斗机变身导弹发射架,战机再也不用冒险爬升开雷达,而是全程无线电静默,只需超低空蒙头赶路,把导弹送到射程内,发射完掉头就跑。无论是军舰还是战机,都不用你们开雷达,只管发射导弹就是了,E-2D可以在大后方引导导弹锁定目标。这种“A射B导”的武林绝学,就问你怕不怕?我兔的舰载预警机传言好些年了,因为是摸着美帝过来的,所以这长相嘛,简直就是一个模子刻出来的。
不过这也不奇怪,E-2出来都60年了,结构和气动布局都没怎么大改,可见这设计是非常完善的,空警600难免会走上同一条路。至于性能咋样,咱肯定不知道,从这几年雷达和数据链技术的进展看,相信应该是够用的。一旦空警600服役,第二家有能力满世界溜达的航母就诞生了。孤独的美帝终于有伴了,没得说,他老人家自然是欢迎的。要说难,也不算难。起飞的时候弹射一下,降落的时候别散架,剩下的和普通预警机差不多。
E-2降落瞬间,机身被拉出褶皱
其实,欧萌合力整一架预警机的能力还是有的,但,整出来干嘛呢?要知道,欧萌连战略轰炸机都扔了,现在全世界保留了轰炸机的国家只有中美俄。再说个题外话,很多军事装备的十大排名都是扯淡,因为玩家一只手就数得过来,洲际导弹、反导、核潜艇这种大件就不说了,即便像重型鱼雷、远程反舰导弹、远程空空导弹这些小件,玩家也是屈指可数。哎,这打仗的门槛是越来越高了。所以,本僧拍大腿保证,只要空警600能上天,全球数一数二绝对没问题(反正只有两个玩家)。丑八怪大集合
相比稀罕的舰载预警机,陆地起降的预警机就多了不少,估摸有二十几家在使用。俄罗斯A-100预警机:
英国 “猎迷”预警机:

以色列“费尔康”预警机:

瑞典“爱立眼”预警机:

澳大利亚“楔尾”预警机:

但凡是工业国,只要解决了地面杂波问题,多少还是有些能力把雷达搬上飞机的。70年代我国的空警一号预警机,就是因为搞不定地面杂波,下马了,直到30年后的空警200才算入门。啥是地面杂波?说起来也简单,早期的雷达都是从地面往天上看,雷达波遇到目标反射,这当然没问题。但预警机的雷达是从天上往地面看,这个时候,还有什么目标是比地球更大的呢?地球可没什么隐身功能,雷达波照到地面后就会反射,所以,低空小目标的反射信号就会淹没在地球这个大目标的反射信号里。
其实,当年就算空警一号成功了,也只是一个飞翔的雷达站而已,很难像E-2那样成为体系化作战的一环。为啥这么说呢?因为空警一号缺乏数据链通信技术,即便发现目标了,也只能通过打电话的方式通知防空阵地,这简直就是放羊娃送鸡毛信的翻版啊!好在这几年兔子是长进了不少,尤其是2001年南海撞机之后,一架美帝现役EP-3电子侦察机落到兔子手里,捅破了很多窗户纸。
当今世界,真正玩得起体系化作战的只有美帝,正在往这个方向奔的是我兔。所以咱主要看看中美的预警机,其他配角都略过吧。听说大盘子领先美帝一代了?
美帝的E-3望楼:
从平台上说,空警2000用的是毛子伊尔76运输机,这显然不是长久之计。第一,从毛子那提货代价可不低;第二,毛子货走的是粗犷路线,兔子走的是美帝的精致路线,伊尔76很难让大盘子发挥出最佳战力,而且未来提升空间也不大。
美帝E-3用的是波音客机,要多少有多少,想怎么改就怎么改,这让人给羡慕的!兔子在大飞机上的劣势显露无疑。所以,兔子出了大型的空警2000之后,反而又折腾出一款中型的空警500,用的是自家运-9运输机。空警2000出了4架就歇了,这种情况是典型的“还没到位”。空警500却跟孵小鸡似的不停下崽,据说最近又把生产线挤满了,这种情况是典型的“到位了”。
按照网上说法,空警500虽然个头小了一大半,性能却更为先进,首次采用的数字阵列相控阵雷达,凭着电子产品的后发优势,号称能吊打美帝的古董货!美帝E-3毕竟有些年头了,大盘子里装的还是那种传统的旋转式机械扫描雷达,从参数上看,E-3大盘子确实已经落后一代了。单纯从雷达上看,美帝已经把传统雷达的潜力挖得差不多了。而新型雷达大家起步没那么悬殊,美帝除了反导和机载,其他方面没那么大需求,所以也就那么回事。小盆友激动了,难道真能吊打美帝?可惜,美帝电子战能力依然是一绝,即便雷达差点也很难一下子跌落霸主宝座。要知道,只有在欺负发育不全的小流氓时,预警机才能凭着参数大杀四方,如果是大流氓对决,比的就是稳定性、抗干扰、通信容量……这些性能,咱都是不知道的,也不可能知道。所以,兔子和美帝到底谁抽谁,咱就不评论了。
其实吧,美帝作为进攻性的海洋国家,你说他在本土折腾预警机有多大意义?上面是加拿大,铁打的小弟,下面是拉美,铁打的农业国,所以更多心思花在了航母舰载预警机上。虽然中美空战的可能性微乎其微……呃,最近风声有点紧,这么说吧,中美大规模空战的可能性微乎其微……还不够保险,这么说吧,中美大规模持续空战的可能性微乎其微!可一旦交手,不太可能是航母对航母,最大概率还是空警500对上E-2D,不说两者孰强孰弱,至少是没有代差了。取上将首级
预警机在后面像灯塔一样照耀前方,让战斗机和军舰变身导弹发射架,着实可恶!作为尽责的大流氓,不可能不对它动脑筋,那么课题来了,如何击落一架预警机?航母作为海上霸主,出门都带一圈小弟,预警机作为空中霸主,当然也是马仔成群。每次美帝空中出击,前面战斗机打先锋,中间电子战飞机做掩护,最后才是预警机压阵,距离少说400公里开外,打预警机无异于万军之中取上将首级。咱们对空战要有个概念,虽然很多空空导弹都号称有上百公里射程,但实战中,40公里外搞下一架飞机就可以吹牛了,400公里基本只能想想了。海湾战争时期,无敌的美帝战机发射导弹的平均距离也只有10海里(18.5公里)。
别说预警机有帮手,即便是一个光杆司令,要打下来也不容易。
看看当年我们是怎么打U2侦察机的。U2一旦被火控锁定,立马掉头就跑,等导弹追过去,只能熏尾气,无奈的很。这活儿只能靠埋伏,在U2飞行路线上提前布置防空导弹,预警雷达先偷偷捕获目标,等距离够近了才转火控锁定开火。这飞行路线是咋知道的?嘿嘿,据说咱们这边比老蒋还要早知道飞行路线(论潜伏的重要性)。当然,现在兔子的预警雷达已经把沿海围得和铁桶一样,潜不潜伏倒也不重要了。但问题是,U2是因为深入大陆才被埋伏的,而预警机远远躲在几百公里外,雷达又特别灵,一发现风吹草动立马往回跑,几乎无解。

尽管这事难是难了点,可戳瞎敌人眼睛一直是大家不懈的追求,努力的时间长了,总还是能找到点办法的。这涉及到另一个话题:预警机能发现隐身飞机吗?这是个大话题,改明儿再说。
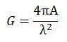
稳住别慌,G是天线增益,相当于雷达信号强度,A是天线有效孔径,可简单理解为天线物理尺寸,λ是雷达波长。假设波长3厘米的火控雷达天线大小是1平米,那么预警机上的UHF米波雷达要达到同样的增益,天线大小得是1000多平米。
这对路基雷达当然不算事,兔子的路基反隐身雷达多次发现400公里外的F22,早被石锤了。这里为山寨兔吹个牛,这种雷达是兔子先折腾,美帝再山寨的,为啥呢?因为美帝先有的隐身飞机。大块头的反隐身雷达打点折扣,上船挤一挤勉强也可以,但上飞机就有点头大了。像中美这种都准备拿对方死磕的大流氓,预警机毫无疑问都会上反隐身的长波相控阵雷达,至于打了多少折扣,目前还没有官方数据(谁要有数据谁就麻烦了)。本僧冒着生命危险上山找老僧问了问,大伙都说不准,预警机的天线毕竟只有那么大,物理规律摆在这,只听说美帝那边也手生得很。不过还能动点小脑筋,比如,隐身飞机正面的雷达反射截面虽然很小,但你总不能正面对着两个方向吧,只要两架预警机拉开点距离,隐身飞机就不得不暴露一些侧面,多少还是能增加点反射信号的。
那预警机到底能多远距离发现隐身飞机?本僧能耐有限,只能分情况答题,争取少扣点分。先往大了估计,按路基雷达算,400公里(可能性不大)。如此的话,预警机可以从容指挥护航编队,至少在200公里开外拦下隐身飞机,在预警机的加持下,管你是不是隐身,照样摁到海里去。打个对折,200公里。这个距离仍在隐身飞机的攻击范围之外,但好在对方火控雷达也很难这么远锁定隐身飞机,所以隐身飞机利用超音速巡航,卯足劲冲上去,再加上一发专门定制的远程空空导弹,还是有可能赶在其他战机拦截之前,弄下一架预警机的。但是隐身飞机跑路时,必然是菊花对着敌人,隐身性能荡然无存,估计也是凶多吉少。再打对折,100公里。那预警机就悬了,空空导弹对付这种机动性差的大目标,不可逃逸区至少大几十公里。隐身飞机踩一脚地板油,开加力冲上去就甩导弹,谁也挡不住,就看最后预警机的电子干扰能不能戳瞎导弹的导引头了。相比单刀赴会的隐身飞机,射程达到400公里的超远程空空导弹就轻松多了。
看这射程就知道这货想干啥了,和弹道导弹有点类似,先把空空导弹打到高空,飞到预警机附近再俯冲攻击。这事儿听着简单,做起来难度贼大!且不说这么小的体格能不能撑那么远,单说制导吧,你打算如何锁定预警机?如果是战斗机跑去开雷达,那估计得穿过敌方战斗机群,十条命都不够来回。如果让预警机干这个活,肯定也得往前移,要知道,这可是主动往对方战斗机群靠啊,万一被对方预警机锁定,那就不知道谁打谁了。地面或军舰的火控雷达都在大后方,更加指望不上。除非你有更好的制导方案,比如……卫星……这话就当我没说。虽然看起来形势不太好,但兔子向来胆小不怕事,所以在戳瞎美帝这件事情上,真的是不遗余力。传说中的霹雳21空空导弹,就是那种射程400公里的怪胎。和这个传说搭配的是另一个关于雷达的传说,据说目标是让日韩和美帝航母的预警机无处遁形,起飞即锁定,看架势是打算把渤黄东南海的预警机都逼退了。在实战中,从来没有一架预警机被击落,当然,其中一个重要原因是美帝从没亲自和大流氓动过手。在演习中,中美经常拿自己的隐身飞机去偷袭自家的预警机,演练各种战法,就是不知道结果如何。美帝有一个说法是大概牺牲50-100架战斗机才能击落一架预警机,咱这边也有一则小道消息,大意是牺牲了大量战斗机才在150公里处创造了一个一击毙命的机会。逃不出麦克斯韦的四指山
在现有的物理框架内,美帝正把军事装备推向极致,加上这几年兔子又在后面猛踹了几把,眼看着物理定律就快被榨干了。芯片再小下去就有量子效应了,能带理论就不适用了,半导体就带不动电磁学了,雷达在麦克斯韦方程组里就算混到头了。以前吧,美帝还能玩升级,不怕兔子追,眼下怕是不行了,除了雷达,热机、化学能也都差不多趟到理论极限了。但往前一看,能穿透整个地球的中微子雷达,连个影子都没有;超导依然和炼丹术差不多,知其然不知其所以然;引力波开了一扇又一扇的门,就是不知道门里面是啥……